5 10 4 0 2 10 7

-8х - 3х. (х+6)=х+10. Х-7/х-2+х+4/х+2 1 решение. X2-5,6x+6,4=0. 10 в двенадцатой степени.
-8х - 3х. (х+6)=х+10. Х-7/х-2+х+4/х+2 1 решение. X2-5,6x+6,4=0. 10 в двенадцатой степени.
3х-5+7х2 3х2+7+11х. 5 10 4 0 2 10 7. 2/3+3/8 решение. 5 1/6-2 4/9 решение. – (2,4 + 3,7) + ( – 1,5 + 0,2).
3х-5+7х2 3х2+7+11х. 5 10 4 0 2 10 7. 2/3+3/8 решение. 5 1/6-2 4/9 решение. – (2,4 + 3,7) + ( – 1,5 + 0,2).
Найдите значение выражения 3*0,4*0, 0005. 10 в 7 степени. У=4х-7 уравнение. 13,4-2х=7,8. Вычислите 12/25 3 -1 2/3 2 -1 1/5 2.
Найдите значение выражения 3*0,4*0, 0005. 10 в 7 степени. У=4х-7 уравнение. 13,4-2х=7,8. Вычислите 12/25 3 -1 2/3 2 -1 1/5 2.
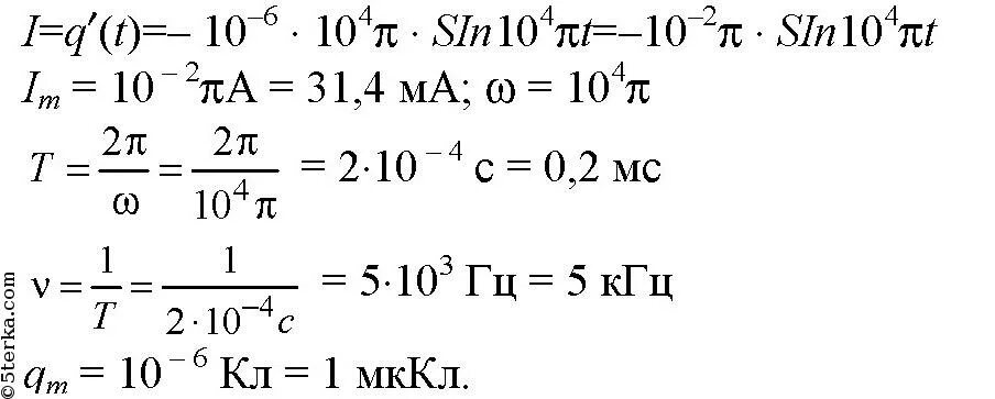
10 в минус степени. 5 10 4 0 2 10 7. Заряд на пластинах конденсатора изменяется по закону. 10 кдж. 5 10 4 0 2 10 7.
10 в минус степени. 5 10 4 0 2 10 7. Заряд на пластинах конденсатора изменяется по закону. 10 кдж. 5 10 4 0 2 10 7.
0,004 : 0,5 столбиком. (3 7 2 −3 3 1 )−(1 7 5 −2 3 2 ). 1,5*1/5+2,1:3/4 решение. (-10)3 как решать. 5 10 4 0 2 10 7.
0,004 : 0,5 столбиком. (3 7 2 −3 3 1 )−(1 7 5 −2 3 2 ). 1,5*1/5+2,1:3/4 решение. (-10)3 как решать. 5 10 4 0 2 10 7.
3х+8=10-4х. A) 2х – (8 – х) + (3х – 2) = 6х – 10. 5/6-0. Найдите 0,7-(-10)3-4*(-10)2-63. Лейкоциты 9.
3х+8=10-4х. A) 2х – (8 – х) + (3х – 2) = 6х – 10. 5/6-0. Найдите 0,7-(-10)3-4*(-10)2-63. Лейкоциты 9.
10 в минусовой степени таблица. 1/2+3/10 решение. 10-3 7/15 решить дробь 5 класс. 1/3+5/6 решение. 10 в 10 степени.
10 в минусовой степени таблица. 1/2+3/10 решение. 10-3 7/15 решить дробь 5 класс. 1/3+5/6 решение. 10 в 10 степени.
5 10 4 0 2 10 7. 5 10 4 0 2 10 7. 5 10 4 0 2 10 7. 5 10 4 0 2 10 7. 2/3+1/6-1/2 решение.
5 10 4 0 2 10 7. 5 10 4 0 2 10 7. 5 10 4 0 2 10 7. 5 10 4 0 2 10 7. 2/3+1/6-1/2 решение.
Количество лейкоцитов 10-9. Два точечных заряда взаимодействуют в воздухе на расстоянии 4м. (х+6) (х-11)>0. 5 10 4 0 2 10 7. 05 м.
Количество лейкоцитов 10-9. Два точечных заряда взаимодействуют в воздухе на расстоянии 4м. (х+6) (х-11)>0. 5 10 4 0 2 10 7. 05 м.
Заряд на пластинах конденсатора колебательного контура. 5 10 4 0 2 10 7. 10 в 10 степени это сколько. Х-7/8=5/12. 5 10 4 0 2 10 7.
Заряд на пластинах конденсатора колебательного контура. 5 10 4 0 2 10 7. 10 в 10 степени это сколько. Х-7/8=5/12. 5 10 4 0 2 10 7.
Два точечных заряда находясь в воздухе на расстоянии 5. 2 пятнадцатых дробь. 10-3 7/15 решить дробь. 3 3/4 -2 5/8 решение. Уравнение 8,5х+4, 5х = 10,5.
Два точечных заряда находясь в воздухе на расстоянии 5. 2 пятнадцатых дробь. 10-3 7/15 решить дробь. 3 3/4 -2 5/8 решение. Уравнение 8,5х+4, 5х = 10,5.
10 в отрицательной степени таблица. 840:5 столбиком. ( 3 1\4+0,25 -1 5\24): ( 2 3\4 - 4 1\2 - 0,75 ) : ( -4 7\12 )=. 4 решение. 5 10 4 0 2 10 7.
10 в отрицательной степени таблица. 840:5 столбиком. ( 3 1\4+0,25 -1 5\24): ( 2 3\4 - 4 1\2 - 0,75 ) : ( -4 7\12 )=. 4 решение. 5 10 4 0 2 10 7.
3 кдж в дж. 2(х-3)решение уравнения. 5 10 4 0 2 10 7. 5 10 4 0 2 10 7. (6 1/8*1 2/7-2 11/14*1 8/13)* 1 3/5.
3 кдж в дж. 2(х-3)решение уравнения. 5 10 4 0 2 10 7. 5 10 4 0 2 10 7. (6 1/8*1 2/7-2 11/14*1 8/13)* 1 3/5.
005кдж=дж. 5 10 4 0 2 10 7. Два заряда находясь в воздухе на расстоянии 0. 2,5+3х=2,8 столбик. 2 5/8*(5/7-3/5)-9:2 1/4.
005кдж=дж. 5 10 4 0 2 10 7. Два заряда находясь в воздухе на расстоянии 0. 2,5+3х=2,8 столбик. 2 5/8*(5/7-3/5)-9:2 1/4.
7x 5 3x 1 модуль. Вычислите 3/4+5/7. Заряд на пластинах конденсатора колебательного. (x-5)^2. 5 10 4 0 2 10 7.
7x 5 3x 1 модуль. Вычислите 3/4+5/7. Заряд на пластинах конденсатора колебательного. (x-5)^2. 5 10 4 0 2 10 7.
Заряд q на пластинах конденсатора. 1/3+5/6 решение. X+6/x+5+10/x 2-25 3/2. 4х-8_х+5-2х10_х+5. 5 10 4 0 2 10 7.
Заряд q на пластинах конденсатора. 1/3+5/6 решение. X+6/x+5+10/x 2-25 3/2. 4х-8_х+5-2х10_х+5. 5 10 4 0 2 10 7.
5. Лейкоциты в крови 10 9/л. 3х/5=6+х/3. 10 в 5 степени. 5у – у + 10у и найдите значение.
5. Лейкоциты в крови 10 9/л. 3х/5=6+х/3. 10 в 5 степени. 5у – у + 10у и найдите значение.
√х+10=х-2. 4/5+2/5 решение. Вирусная нагрузка при гепатите с расшифровка таблица ме/мл 60. 5 10 4 0 2 10 7. 2 5/8*(5/7-3/5)-9:2 1/4.
√х+10=х-2. 4/5+2/5 решение. Вирусная нагрузка при гепатите с расшифровка таблица ме/мл 60. 5 10 4 0 2 10 7. 2 5/8*(5/7-3/5)-9:2 1/4.
Сила взаимодействие двух зарядов в воздух. 4нвк 24-12-10. -2,1×3,8= столбиком. 5 10 4 0 2 10 7. Вирусная нагрузка гепатит в норма таблица.
Сила взаимодействие двух зарядов в воздух. 4нвк 24-12-10. -2,1×3,8= столбиком. 5 10 4 0 2 10 7. Вирусная нагрузка гепатит в норма таблица.
12х+5у=10. (2,5*10)^2*(4*10^3. Вирусная нагрузка гепатит б расшифровка. Норма лейкоцитов в мкл в крови. 5 10 4 0 2 10 7.
12х+5у=10. (2,5*10)^2*(4*10^3. Вирусная нагрузка гепатит б расшифровка. Норма лейкоцитов в мкл в крови. 5 10 4 0 2 10 7.